金旋体育开户足球

吴江市博霖实业有限公司
今天:
  磺胺噻唑
磺胺噻唑钠
酞磺胺噻唑
磺胺噻唑颗粒
磺胺喹噁啉
  磺胺噻唑
磺胺噻唑钠
酞磺胺噻唑
磺胺噻唑颗粒
磺胺喹噁啉
  6,8-二氯辛酸乙酯
α-硫辛酸
 
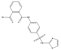
酞磺胺噻唑
 
别 名:
羧苯甲酰磺胺噻唑 PST
CAS NO.:

85-73-4

分子式:
C17H13N3O5S2=403.4
性 状:
本品为白色或类白色结晶粉末,无臭,置光线下外观色渐深,能溶于氢氧化碱和二甲替甲酰胺中,在乙醇中微溶,几乎微溶于水和氯仿中。熔点为198-204℃
结构式:
适应症:
用于胃肠道细菌感染,细菌性痢疾、细菌性溃疡性肠炎亦可用于肠道手术后预防感染。
药理作用:
本品口服吸收不良,在大肠内缓慢分解出磺胺噻唑。仅有5%被大肠吸收,在大肠内的抗菌作用较SG为强,超过SST为2-4倍。
质量标准:
BP2002
酸 度:
≤1ml
氯化物:
≤0.014%
干燥湿重:
≤2%
炽灼残渣:
≤0.1%
重金属:
≤20PPM
芳香胺及有关物质:
≤2%
含 量:
98.5-101.5%
 
版权所有(C)2014 网络支持 著作权声明